法国巴黎萨克雷大学Shaaban等探讨了戈沙妥珠单抗的临床相关性,以及将临床试验疗效转化为真实世界结果所面临的挑战,并进一步表明有必要在更广泛的人群中对其耐受性进行深入研究。(Br J Cancer. 2026年2月5日在线版)
在转移性三阴性乳腺癌(mTNBC)和激素受体阳性/HER2阴性转移性乳腺癌(HR+/HER2- mBC)的三线治疗中,戈沙妥珠单抗在法国被授予早期使用的权限。这项全国性队列研究评估了其真实世界使用情况和生存结局。
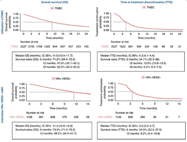
利用法国国家健康数据系统,该研究纳入了在2021年7月1日至2023年12月31日开始戈沙妥珠单抗治疗的所有患者,随访至2024年6月30日。研究记录患者人口统计学特征、合并症和既往治疗;通过Kaplan-Meier法估计总生存期和至治疗终止时间,并通过多变量Cox模型确定OS的预后因素。

共纳入3653例患者:其中2527例为mTNBC患者,1126例为HR+/HER2- mBC患者,中位年龄分别为58岁和61.5岁。mTNBC患者的中位OS为11.0个月,HR+/HER2- mBC患者的为11.4个月。两组的1年生存率分别为47%和48%,中位至治疗终止时间分别为4.3个月和3.5个月。较差的OS与在住院期间开始戈沙妥珠单抗治疗以及肝/消化道转移独立相关。在mTNBC患者中,其他相关因素还包括脑转移、呼吸系统疾病、与烟草相关的住院治疗、多发转移灶以及既往治疗情况。 (编译 周阳)