美国研究者Huang等报告的大型社区队列研究显示,内镜医师较高的无蒂锯齿状病变检出率(SSLDR)以剂量依赖的方式与显著降低的结肠镜后结直肠癌(PCCRC)风险相关。这些发现支持将SSLDR作为结肠镜检查的关键质量指标。(JAMA Netw Open. 2026年2月17日在线版)
虽然腺瘤检出率是结肠镜检查的关键质量指标,但目前对于锯齿状息肉切除,特别是SSLDR,尚缺乏明确标准。
该研究的目的是评估内镜医师检出的SSLDR与PCCRC的风险,以及其与相关死亡率的关系。
这项回顾性队列研究于2000年1月1日至2021年12月31日在加利福尼亚北部一个大型综合医疗系统内进行。研究纳入了由50位消化科医师为18岁及以上患者进行的结肠镜检查,排除了检查后6个月内诊断出结直肠癌、有结直肠癌史或炎症性肠病史的患者。统计分析时间为2000年1月1日至2021年12月31日。
主要暴露因素是SSLDR,定义为在筛查性结肠镜检查中,至少发现1个经组织学证实的无蒂锯齿状腺瘤或传统锯齿状腺瘤的比例,并按四分位数进行分组。
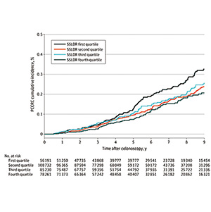
主要结局是结肠镜检查结果阴性6个月后被诊断出的PCCRC。次要结局包括近端或远端PCCRC、晚期结直肠癌、全因死亡率和结直肠癌相关死亡率。结局通过关联的州及癌症登记机构和生命记录进行确定。

在226 695例特定患者(平均年龄58.6岁±10.7岁;51.7%为女性)进行的328 416例次结肠镜检查中,经过2 038 816人-年的随访,共发现562例PCCRC。PCCRC的绝对发病率随SSLDR四分位数的升高而下降,从最低四分位数的3.9/1万人-年降至最高四分位数的2.4/1万人-年。与SSLDR最低四分位数的患者相比,最高四分位数患者的PCCRC风险显著降低(多因素分析:HR=0.69,95%CI 0.50~0.94,P=0.01),且主要与近端PCCRC风险降低相关。较高的SSLDR与较低的全因死亡率(第二四分位数:57.7/1万人-年,第三四分位数:58/1万人-年)和结直肠癌相关死亡率(第二四分位数:0.2/1万人-年,第三四分位数:0.2/1万人-年)相关,但与最低四分位数相比,在最高四分位数中该相关性不显著。
(编译 许建梅)