意大利米兰大学Santucci等预测,2026年欧盟男性总癌症死亡率预计将下降7.8%,女性的将下降5.9%,但男性的肺癌死亡率明显下降,而欧盟大多数国家女性肺癌死亡率将稳定在12.5/10万左右。(Ann Oncol. 2026年1月19日在线版)
肺癌是欧洲癌症相关死亡的主要原因,但自20世纪90年代以来,男性肺癌死亡率有所下降,这反映了男性吸烟率的长期下降。对于欧盟女性而言,尚未观察到有利的肺癌发展趋势。该项回顾性研究自世界卫生组织和联合国数据库获得了欧盟5国(法国、德国、意大利、波兰、西班牙)和英国从1970年至2022年所有癌症及主要癌症的死亡证明数据和人口数据。


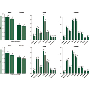
研究人员预测,2026年欧盟癌症死亡率为约为1 230 000例,其中男性的年龄标化癌症死亡率为114.1/10万(较2020~2022年下降7.8%),女性的为74.7/10万(下降5.9%)。
在欧盟5国及整个欧盟,除女性胰腺癌外,大多数主要类型癌症都呈现出有利的发展态势。在英国,除女性结直肠癌外,预测的癌症死亡率也呈现出有利的发展态势。男性肺癌死亡率持续明显下降;除西班牙外,所有所及国家及整个欧盟的女性肺癌死亡率预计将趋于稳定,约为12.5/10万,但西班牙的除外(死亡率预计将增高2.4%)。
年龄归因分析显示,女性肺癌死亡率的下降主要见于<65岁人群,而年龄更大人群的仍持续呈现不利的趋势。自1988年观测到的峰值以来,欧盟已避免了约500万男性和230万女性的所有癌症死亡病例,其中男性避免了180万肺癌死亡病例,但女性中则未见避免的肺癌死亡病例。
研究者认为:加强税收、实施广告禁令、创建无烟环境并提供戒烟支持,对于缩小地区间和社会经济间的差距,实现全欧洲肺癌死亡率持续下降而言是至关重要的。不过,因为假设驱动最新趋势的因素在短期内不会发生变化,年龄特定断点模型的分析可能对队列趋势变化的敏感性较低,所以该结果应被谨慎解读。
(编译 王磊)