
英国南安普顿大学Iveson等报告,SCOT研究证明了3个月的辅助化疗在总生存方面的非劣效性,应推荐给大多数患者。(J Clin Oncol. 2026年1月9日在线版)
过去20多年来,6个月的奥沙利铂联合氟嘧啶辅助化疗一直是结直肠癌的国际标准治疗方案。共识指南推荐Ⅲ期结肠癌采用双药化疗,对于高危Ⅱ期患者的使用则存在更多争议。在这两种情况下,人们对奥沙利铂引起的长期神经毒性都存在担忧,这种毒性与治疗时长相关。

为了探讨缩短治疗时间是否能减轻毒性而不影响疗效,IDEA合作组织开展了六项试验,比较3个月与6个月的奥沙利铂联合氟嘧啶化疗。这些试验的总生存汇总分析支持对大多数Ⅲ期结肠癌患者使用3个月卡培他滨联合奥沙利铂(CAPOX)辅助化疗。
SCOT试验是其中最大的一项,也是目前唯一一项证实3个月治疗非劣效性的独立研究。SCOT还纳入了高危Ⅱ期结肠癌患者,并且是IDEA合作组织中唯一纳入直肠癌患者的研究。在此报告了整个研究人群及各亚组的长期随访总生存结果。

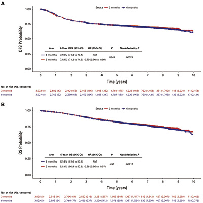
SCOT研究是一项国际、随机、Ⅲ期、非劣效性试验,旨在调查将结直肠癌辅助治疗时间从6个月缩短至3个月的效果。该研究最初在6088例患者中,报告了3个月治疗的无病生存期的非劣效性,且毒性减少、生活质量改善。在此报告了延长随访38个月后的总生存期结果。高危Ⅱ期和Ⅲ期结直肠癌患者被按照1∶1的比例随机分配接受3个月或6个月CAPOX方案或输注氟尿嘧啶、亚叶酸钙联合奥沙利铂(FOLFOX)方案治疗。在中位随访113个月、发生1255例OS事件后,两组5年总生存率均为82.4%(HR=0.96,95%CI 0.8~1.07),证明了3个月治疗的非劣效性。在1087例直肠癌患者中结果也显示了3个月治疗总生存的非劣效性。持续的影响与化疗方案相关,CAPOX方案显示出非劣效性,而FOLFOX方案则未显示。
(编译 方圆)